A Monza il lavoratore dipendente ha un reddito medio annuo di 33.092mila euro. Sono 51.874 i contribuenti monzesi che hanno un reddito da lavoro dipendente e assimilati. Chi ha come entrata la pensione, invece, si ferma a un reddito medio di 25.234mila euro. Una situazione che interessa complessivamente 31.056 persone.
Tutte cifre che si riferiscono alle dichiarazioni 2023, perciò legate ai redditi percepiti l’anno precedente. La «fotografia» è stata scattata in base ai dati del Ministero delle Finanze, poi elaborati dall’Ufficio Gestione Applicativi, Analisi Dati e Statistica del Comune di Monza.

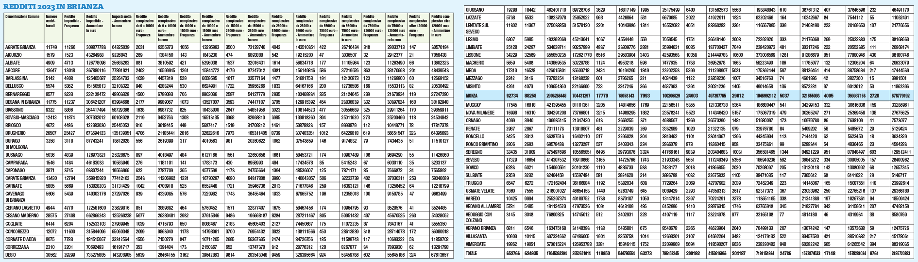
Redditi MB: l’analisi sulle dichiarazioni di 92.734 monzesi
L’analisi effettuata su un totale di 92.734 contribuenti monzesi dice anche che 50.424 hanno un reddito da fabbricato. L’entrata media è pari a 1.651 euro, per un totale di 83.235.663 milioni di euro. Monza in cifre 2024 evidenzia anche come in città siano pochi i lavoratori dipendenti in grado di esibire un reddito superiore a 120mila euro all’anno: un «tetto» che superano 2.720 persone, cioè il 3,1% del totale.
L’entrata media di questa categoria di contribuenti è comunque di 249.551mila euro. Un gradino più in basso di questa speciale classifica ci sono i percettori di un reddito compreso tra i 75mila e i 120mila euro. Un’entrata che riguarda 4.005 persone, pari al 4,5%. Il reddito medio è di 92.369mila euro.
Redditi MB: i redditi zero e la grande fascia dei 30mila euro
Dalla parte opposta di questa graduatoria particolare ci sono 17 contribuenti che hanno reddito zero. La «fetta» di contribuenti maggiormente rappresentata è, invece, quella di chi ha un reddito medio di 36.088mila euro. Lo percepisce il 32,6% dei contribuenti cittadini. La seconda posizione è presidiata da chi si deve accontentare di un’entrata annua di 20.722mila euro. Sono in tutto 20.003 persone, cioè il 27%. Molto peggio, ovviamente, stanno quei 17.779 contribuenti che dichiarano solo 4.390mila euro. Costituiscono il 20% del totale.
Redditi MB: i 56 Comuni della Brianza
Capitolo Brianza: in questo caso il quadro complessivo comprende 652.766mila contribuenti distribuiti in 56 Comuni. I percettori di un reddito da fabbricato sono in tutto 352.226mila, per un reddito complessivo di 385.283.400 euro. Per quanto riguarda le entrate dovute al lavoro dipendente e assimilati, le persone interessate sono 375.650mila. La somma complessiva è pari a 103.684.318.74 euro. La città con il maggior numero di contribuenti è, naturalmente, Monza. Ma pure Lissone (34.229), Seregno (33.435) e Desio (30.562) possono schierare numeri «pesanti».
Solo due Comuni brianzoli non riescono a superare quota 2mila contribuenti: Camparada (1.546) e Aicurzio (1.579). Correzzana arriva invece a 2.310 contribuenti. Aicurzio ha comunque un numero elevato di pensionati rispetto al numero di contribuenti: sono infatti 566. Nella stessa cittadina sono 916 le persone che hanno un reddito di lavoro dipendente. Ma una situazione simile non è un’eccezione. Anzi. A Desio, per esempio, i pensionati sono 9.856 e 18.024 i percettori di un reddito da lavoro dipendente.